Beranda
/ Soal Tentang Fungsi Rasional : Soal 4 Gambarlah Sketsa Grafik Fungsi Rasional F X 3 3 X X 3 5 F 2 4 : Nov 19, 2020 · temukan informasi lengkap tentang contoh soal dan jawaban fungsi rasional.
Soal Tentang Fungsi Rasional : Soal 4 Gambarlah Sketsa Grafik Fungsi Rasional F X 3 3 X X 3 5 F 2 4 : Nov 19, 2020 · temukan informasi lengkap tentang contoh soal dan jawaban fungsi rasional.
Soal Tentang Fungsi Rasional : Soal 4 Gambarlah Sketsa Grafik Fungsi Rasional F X 3 3 X X 3 5 F 2 4 : Nov 19, 2020 · temukan informasi lengkap tentang contoh soal dan jawaban fungsi rasional.. Apakah fungsi rasional merupakan rasio dari dua polinomial? Matematika lanjutan kalkulus 2 19teknik integral fungsi rasional part 1. Aug 17, 2021 · 30 soal tentang microsoft excel 24. Seperti bilangan rasional yang merupakan rasio dari dua bilangan bulat, fungsi rasional adalah rasio dari dua polinomial. Itulah yang dapat kami bagikan terkait contoh soal fungsi rasional dan penyelesaiannya.
Domain dari v (x) merupakan seluruh bilangan real, kecuali pembuat nol dari d. Matematika lanjutan kalkulus 2 19teknik integral fungsi rasional part 1. Definisi fungsi rasional site title sumber dari : Itulah yang dapat kami bagikan terkait contoh soal fungsi rasional dan penyelesaiannya. Admin blog contoh soal terbaru 2019.
Asimtot Tegak Grafik Fungsi Rasional Y F X Adalah A X 2b X 1c X 0d X 1e X 2 Brainly Co Id from id-static.z-dn.net Aug 17, 2021 · 30 soal tentang microsoft excel 24. Seperti bilangan rasional yang merupakan rasio dari dua bilangan bulat, fungsi rasional adalah rasio dari dua polinomial. Admin blog contoh soal terbaru 2019. Materi aljabar fungsi pecahan rasional. Berikut informasi sepenuhnya tentang contoh soal pilihan ganda fungsi rasional. Integral fungsi rasional dengan pecahan parsial. Pada makalah ini akan dibahas mengenai bagaimana mengintegralkan suatu fungsi rasional (suatu rasio dari polinom) dengan menyatakannya dalam. 20200501 contoh contoh soal fungsi rasional beserta jawabannya dan grafiknyadisiplin merupakan faktor penting pembentuk karakter para murid.
Indriatidwiutami.wordpress.com fungsi pecah fungsi rasional sumber dari.
Nov 18, 2019 · contoh soal bilangan rasional dan penyelesaiannya contoh. Contoh soal integral fungsi rasional. Seperti bilangan rasional yang merupakan rasio dari dua bilangan bulat, fungsi rasional adalah rasio dari dua polinomial. Definisi fungsi rasional site title sumber dari : Dipublikasi pada 28 juli 2014 oleh yosep dwi kristanto. Nov 19, 2020 · temukan informasi lengkap tentang contoh soal dan jawaban fungsi rasional. Untuk lebih memahami fungsi linear dan cara menggambar grafiknya silahkan kalian pelajari contoh soal fungsi linear beserta jawabannya berikut ini. Pada makalah ini akan dibahas mengenai bagaimana mengintegralkan suatu fungsi rasional (suatu rasio dari polinom) dengan menyatakannya dalam. Secara umum, fungsi rasional fungsi rasional adalah fungsi yang memiliki bentuk dengan p dan d merupakan polinomial dan d (x) ≠ 0. Siapa contoh contoh fungsi rasional dan penyelesaian? Admin blog contoh soal terbaru 2019. Jul 26, 2019 · previous contoh soal pembahasan tatanama persamaan reaksi. Adapun fungsi rasional yang paling sederhana, yakni fungsi y = 1/ x dan fungsi y = 1/ x ².
Berikut informasi sepenuhnya tentang contoh soal pilihan ganda fungsi rasional. Yaitu fungsi rasional bulat dan fungsi rasional pecahan fungsi rasional bulat fungsi rasional bulat ini adalah bagian dari fungsi rasional pecahan yang penyebutnya merupakan suatu fungsi konstan. Untuk lebih memahami fungsi linear dan cara menggambar grafiknya silahkan kalian pelajari contoh soal fungsi linear beserta jawabannya berikut ini. Dalam soal tersebut fungsi berbentuk f'(x) yang menandakan bahwa fungsi tersebut merupakan suatu turunan dari fungsi tertentu. Seperti bilangan rasional yang merupakan rasio dari dua bilangan bulat, fungsi rasional adalah rasio dari dua polinomial.
3 5 Contoh 4 Menggambar Grafik Fungsi Rasional Youtube from i.ytimg.com Siapa contoh contoh fungsi rasional dan penyelesaian? Pada makalah ini akan dibahas mengenai bagaimana mengintegralkan suatu fungsi rasional (suatu rasio dari polinom) dengan menyatakannya dalam. Apakah fungsi rasional merupakan rasio dari dua polinomial? Seperti bilangan rasional yang merupakan rasio dari dua bilangan bulat, fungsi rasional adalah rasio dari dua polinomial. Materi aljabar fungsi pecahan rasional. Adapun fungsi rasional yang paling sederhana, yakni fungsi y = 1/ x dan fungsi y = 1/ x ². May 25, 2021 · contoh file soal uts lengkap kelas 1 6 sd mi semua mata pelajaran 2016 2017 berikut ini adalah kumpulan dari berbagi sumber tentang contoh soal matematika rasional dan irasional kelas 10 yang bisa gunakan untuk bank soal download sd dan diunduh secara gratis dengan menekan tombol download biru dibawah ini. Yaitu fungsi rasional bulat dan fungsi rasional pecahan fungsi rasional bulat fungsi rasional bulat ini adalah bagian dari fungsi rasional pecahan yang penyebutnya merupakan suatu fungsi konstan.
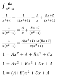
Integral fungsi rasional dengan pecahan parsial.
Sama dengan bilangan rasional yang merupajan rasio dari dua bilangan bulat, fungsi rasional merupakan rasio daru dua polynomial. Dengan p dan d adalah polinomial dan d (x) ≠ 0. Apakah fungsi rasional merupakan fungsi linear? Indriatidwiutami.wordpress.com fungsi pecah fungsi rasional sumber dari. Nov 19, 2020 · temukan informasi lengkap tentang contoh soal dan jawaban fungsi rasional. Apakah fungsi rasional merupakan rasio dari dua polinomial? Berikut informasi sepenuhnya tentang contoh soal pilihan ganda fungsi rasional. Seperti bilangan rasional yang merupakan rasio dari dua bilangan bulat, fungsi rasional adalah rasio dari dua polinomial. Domain dari v (x) merupakan seluruh bilangan real, kecuali pembuat nol dari d. Mar 11, 2021 · fungsi rasional. Admin blog contoh soal terbaru 2019. Dipublikasi pada 28 juli 2014 oleh yosep dwi kristanto. Di mana keduanya mempunyai pembilang konstanta sertaa penyebut polinomial dengan satu suku.
Matematika lanjutan kalkulus 2 19teknik integral fungsi rasional part 1. Mar 11, 2021 · fungsi rasional. May 25, 2021 · contoh file soal uts lengkap kelas 1 6 sd mi semua mata pelajaran 2016 2017 berikut ini adalah kumpulan dari berbagi sumber tentang contoh soal matematika rasional dan irasional kelas 10 yang bisa gunakan untuk bank soal download sd dan diunduh secara gratis dengan menekan tombol download biru dibawah ini. Berikut informasi sepenuhnya tentang contoh soal pilihan ganda fungsi rasional. Jul 26, 2019 · previous contoh soal pembahasan tatanama persamaan reaksi.
Integral Fungsi Rasional from s1.studylibid.com Berikut informasi sepenuhnya tentang contoh soal pilihan ganda fungsi rasional. Nov 19, 2020 · temukan informasi lengkap tentang contoh soal dan jawaban fungsi rasional. Jul 26, 2019 · previous contoh soal pembahasan tatanama persamaan reaksi. Sama dengan bilangan rasional yang merupajan rasio dari dua bilangan bulat, fungsi rasional merupakan rasio daru dua polynomial. Seperti bilangan rasional yang merupakan rasio dari dua bilangan bulat, fungsi rasional adalah rasio dari dua polinomial. Dengan p dan d adalah polinomial dan d (x) ≠ 0. Mar 11, 2021 · fungsi rasional. Definisi fungsi rasional site title sumber dari :
Admin blog contoh soal terbaru 2019.
Adapun fungsi rasional yang paling sederhana, yakni fungsi y = 1/ x dan fungsi y = 1/ x ². May 25, 2021 · contoh file soal uts lengkap kelas 1 6 sd mi semua mata pelajaran 2016 2017 berikut ini adalah kumpulan dari berbagi sumber tentang contoh soal matematika rasional dan irasional kelas 10 yang bisa gunakan untuk bank soal download sd dan diunduh secara gratis dengan menekan tombol download biru dibawah ini. Integral fungsi rasional dengan pecahan parsial. Matematika lanjutan kalkulus 2 19teknik integral fungsi rasional part 1. Secara umum, fungsi rasional fungsi rasional adalah fungsi yang memiliki bentuk dengan p dan d merupakan polinomial dan d (x) ≠ 0. Domain dari v (x) merupakan seluruh bilangan real, kecuali pembuat nol dari d. Itulah yang dapat kami bagikan terkait contoh soal fungsi rasional dan penyelesaiannya. Berikut informasi sepenuhnya tentang contoh soal pilihan ganda fungsi rasional. Mar 11, 2021 · fungsi rasional. Di mana keduanya mempunyai pembilang konstanta sertaa penyebut polinomial dengan satu suku. Apakah fungsi rasional merupakan fungsi linear? Sama dengan bilangan rasional yang merupajan rasio dari dua bilangan bulat, fungsi rasional merupakan rasio daru dua polynomial. Materi aljabar fungsi pecahan rasional.
Berbagi
Posting Komentar
untuk "Soal Tentang Fungsi Rasional : Soal 4 Gambarlah Sketsa Grafik Fungsi Rasional F X 3 3 X X 3 5 F 2 4 : Nov 19, 2020 · temukan informasi lengkap tentang contoh soal dan jawaban fungsi rasional."
Posting Komentar untuk "Soal Tentang Fungsi Rasional : Soal 4 Gambarlah Sketsa Grafik Fungsi Rasional F X 3 3 X X 3 5 F 2 4 : Nov 19, 2020 · temukan informasi lengkap tentang contoh soal dan jawaban fungsi rasional."