Beranda
/ Soal Operasi Fungsi Aljabar / Operasi Hitung Pecahan Aljabar Dan Contoh Soalnya : Diketahui fungsi f (x) = (x + 2) 2 dan g (x) = (2x + 4) 2 , maka tentukanlah hasil dari :
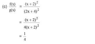
Soal Operasi Fungsi Aljabar / Operasi Hitung Pecahan Aljabar Dan Contoh Soalnya : Diketahui fungsi f (x) = (x + 2) 2 dan g (x) = (2x + 4) 2 , maka tentukanlah hasil dari :
Soal Operasi Fungsi Aljabar / Operasi Hitung Pecahan Aljabar Dan Contoh Soalnya : Diketahui fungsi f (x) = (x + 2) 2 dan g (x) = (2x + 4) 2 , maka tentukanlah hasil dari :. Slideshare uses cookies to improve functionality and performance, and to provide you with relevant advertising. 4x+y, 5p+3r, 7x 2 +7. Mar 28, 2020 · contoh soal dan pembahasan operasi aljabar fungsi oke ketemu lagi nih kali ini kita akan melanjutkan materi sebelumnya ya. = (x + 2) 2. Aug 15, 2021 · suku.
= (x + 2) 2. Penjumlahan, pengurangan, perkalian dan pembagian. Suku adalah nilai yang menyusun suatu bentuk aljabar, baik berwujud variabel+koefisien maupun konstanta. Diketahui fungsi f (x) = (x + 2) 2 dan g (x) = (2x + 4) 2 , maka tentukanlah hasil dari : Jika 𝑓 suatu fungsi dengan daerah asal 𝐷𝑓 dan g suatu fungsi dengan daerah asal 𝐷 𝑔, maka pada operasi aljabar penjumlahan, pengurangan, perkalian, dan pembagian dinyatakan sebagai berikut:
Operasi Aljabar Fungsi Materi Lengkap Matematika from 2.bp.blogspot.com Diketahui fungsi f (x) = (x + 2) 2 dan g (x) = (2x + 4) 2 , maka tentukanlah hasil dari : Suku satu (tidak memiliki tanda operasi hitung atau selisih). Slideshare uses cookies to improve functionality and performance, and to provide you with relevant advertising. Sep 17, 2020 · contoh soal fungsi operasi aljabar dan komposisi fungsi sehingga kalian perlu memperhatian dengan baik ulasan yang nanti akan diberikan dibawah ini ya. Suku dua (terdapat satu tanda operasi hitung atau selisih). Mar 28, 2020 · contoh soal dan pembahasan operasi aljabar fungsi oke ketemu lagi nih kali ini kita akan melanjutkan materi sebelumnya ya. 3ab 5ab 8ab penyelesaian b. Operasi aljabar pada fungsi definisi:
Apr 26, 2021 · soal dan pembahasan super lengkap limit fungsi aljabar mathcyber1997 contoh soal fungsi komposisi dan invers dan jawaban pembahasan contoh soal dan pembahasan operasi aljabar fungsi sains seru operasi aljabar fungsi materi lengkap matematika ppt ujian terdiri atas 50 soal pilihan ganda powerpoint presentation id 5139112.
Sep 17, 2020 · contoh soal fungsi operasi aljabar dan komposisi fungsi sehingga kalian perlu memperhatian dengan baik ulasan yang nanti akan diberikan dibawah ini ya. Mar 28, 2020 · contoh soal dan pembahasan operasi aljabar fungsi oke ketemu lagi nih kali ini kita akan melanjutkan materi sebelumnya ya. Suku dua (terdapat satu tanda operasi hitung atau selisih). Kali ini kita akan membahas tentang operasi aljabar fungsi. Terdapat berbagai macam bentuk aljabar, diantaranya. Operasi aljabar pada fungsi definisi: Penjumlahan f dan g berlaku (f + g) (x) = f(x) + g(x) perhatikan contoh soal berikut ini. Aug 15, 2021 · suku. Jika 𝑓 suatu fungsi dengan daerah asal 𝐷𝑓 dan g suatu fungsi dengan daerah asal 𝐷 𝑔, maka pada operasi aljabar penjumlahan, pengurangan, perkalian, dan pembagian dinyatakan sebagai berikut: A) penjumlahan penjumlahan 𝑓 dan g ditulis 𝑓 + 𝑔 didefinisikan sebagai ( 𝑓. Itulah sekilas penjelasan tentang operasi aljabar pada fungsi dan contohnya terima kasih telah menyempatkan membaca semoga artikel yang anda baca bermanfaat jangan sungkan untuk mengirimkan kritik maupun saran kepada redaksi kami. Suku adalah nilai yang menyusun suatu bentuk aljabar, baik berwujud variabel+koefisien maupun konstanta. Operasi hitung perkalian pada bentuk aljabar ada dua bentuk, yaitu perkalian antara konstanta dengan bentuk aljabar dan perkalian antara dua bentuk aljabar.
Suku satu (tidak memiliki tanda operasi hitung atau selisih). Kali ini kita akan membahas tentang operasi aljabar fungsi. Aug 15, 2021 · suku. Sedangkan operasi pemangkatan dengan pangakt bulat, mengikuti aturan operasi perkalian. Pada pertemuan sebelumnya kita sudah pernah membahas relasi dan fungsi beserta macam macamnya di pertemuan ini kita akan menambahkan sedikit materi fungsi yaitu sifat yang ada pada fungsi itu sendiri.
1 from Diketahui fungsi f (x) = (x + 2) 2 dan g (x) = (2x + 4) 2 , maka tentukanlah hasil dari : Operasi aljabar pada fungsi definisi: Penjumlahan f dan g berlaku (f + g) (x) = f(x) + g(x) perhatikan contoh soal berikut ini. = (x + 2) 2. Pada pertemuan sebelumnya kita sudah pernah membahas relasi dan fungsi beserta macam macamnya di pertemuan ini kita akan menambahkan sedikit materi fungsi yaitu sifat yang ada pada fungsi itu sendiri. Suku satu (tidak memiliki tanda operasi hitung atau selisih). 4x+y, 5p+3r, 7x 2 +7. Mar 28, 2020 · contoh soal dan pembahasan operasi aljabar fungsi oke ketemu lagi nih kali ini kita akan melanjutkan materi sebelumnya ya.
Penjumlahan, pengurangan, perkalian dan pembagian.
Sep 17, 2020 · contoh soal fungsi operasi aljabar dan komposisi fungsi sehingga kalian perlu memperhatian dengan baik ulasan yang nanti akan diberikan dibawah ini ya. Slideshare uses cookies to improve functionality and performance, and to provide you with relevant advertising. Jan 14, 2010 · aljabar fungsi. Apr 26, 2021 · soal dan pembahasan super lengkap limit fungsi aljabar mathcyber1997 contoh soal fungsi komposisi dan invers dan jawaban pembahasan contoh soal dan pembahasan operasi aljabar fungsi sains seru operasi aljabar fungsi materi lengkap matematika ppt ujian terdiri atas 50 soal pilihan ganda powerpoint presentation id 5139112. Suku satu (tidak memiliki tanda operasi hitung atau selisih). Soal pilihan ganda operasi aljabar fungsi. Nov 08, 2018 · operasi aljabar pada fungsi dan fungsi komposisi 1. Aug 15, 2021 · suku. Operasi hitung perkalian pada bentuk aljabar ada dua bentuk, yaitu perkalian antara konstanta dengan bentuk aljabar dan perkalian antara dua bentuk aljabar. Kali ini kita akan membahas tentang operasi aljabar fungsi. Suku dua (terdapat satu tanda operasi hitung atau selisih). Sedangkan operasi pemangkatan dengan pangakt bulat, mengikuti aturan operasi perkalian. Suku adalah nilai yang menyusun suatu bentuk aljabar, baik berwujud variabel+koefisien maupun konstanta.
Suku adalah nilai yang menyusun suatu bentuk aljabar, baik berwujud variabel+koefisien maupun konstanta. Operasi hitung perkalian pada bentuk aljabar ada dua bentuk, yaitu perkalian antara konstanta dengan bentuk aljabar dan perkalian antara dua bentuk aljabar. Terdapat berbagai macam bentuk aljabar, diantaranya. = (x + 2) 2. Apr 26, 2021 · soal dan pembahasan super lengkap limit fungsi aljabar mathcyber1997 contoh soal fungsi komposisi dan invers dan jawaban pembahasan contoh soal dan pembahasan operasi aljabar fungsi sains seru operasi aljabar fungsi materi lengkap matematika ppt ujian terdiri atas 50 soal pilihan ganda powerpoint presentation id 5139112.
Jagoan Belajar Contoh Soal Dan Pembahasan Fungsi Komposisi Dan Invers from 1.bp.blogspot.com = (x + 2) 2. Pada pertemuan sebelumnya kita sudah pernah membahas relasi dan fungsi beserta macam macamnya di pertemuan ini kita akan menambahkan sedikit materi fungsi yaitu sifat yang ada pada fungsi itu sendiri. Operasi aljabar pada fungsi definisi: Mar 28, 2020 · contoh soal dan pembahasan operasi aljabar fungsi oke ketemu lagi nih kali ini kita akan melanjutkan materi sebelumnya ya. Jan 14, 2010 · aljabar fungsi. Diketahui fungsi f (x) = (x + 2) 2 dan g (x) = (2x + 4) 2 , maka tentukanlah hasil dari : Operasi hitung perkalian pada bentuk aljabar ada dua bentuk, yaitu perkalian antara konstanta dengan bentuk aljabar dan perkalian antara dua bentuk aljabar. Itulah sekilas penjelasan tentang operasi aljabar pada fungsi dan contohnya terima kasih telah menyempatkan membaca semoga artikel yang anda baca bermanfaat jangan sungkan untuk mengirimkan kritik maupun saran kepada redaksi kami.
Penjumlahan f dan g berlaku (f + g) (x) = f(x) + g(x) perhatikan contoh soal berikut ini.
Operasi hitung perkalian pada bentuk aljabar ada dua bentuk, yaitu perkalian antara konstanta dengan bentuk aljabar dan perkalian antara dua bentuk aljabar. Apr 26, 2021 · soal dan pembahasan super lengkap limit fungsi aljabar mathcyber1997 contoh soal fungsi komposisi dan invers dan jawaban pembahasan contoh soal dan pembahasan operasi aljabar fungsi sains seru operasi aljabar fungsi materi lengkap matematika ppt ujian terdiri atas 50 soal pilihan ganda powerpoint presentation id 5139112. Penjumlahan f dan g berlaku (f + g) (x) = f(x) + g(x) perhatikan contoh soal berikut ini. 4x+y, 5p+3r, 7x 2 +7. Jika 𝑓 suatu fungsi dengan daerah asal 𝐷𝑓 dan g suatu fungsi dengan daerah asal 𝐷 𝑔, maka pada operasi aljabar penjumlahan, pengurangan, perkalian, dan pembagian dinyatakan sebagai berikut: Bila f dan g suatu fungsi, maka pada operasi aljabar penjumlahan, pengurangan, perkalian, dan pembagian dapat dinyatakan sebagai berikut. Nov 08, 2018 · operasi aljabar pada fungsi dan fungsi komposisi 1. = (x + 2) 2. Operasi aljabar pada fungsi definisi: Slideshare uses cookies to improve functionality and performance, and to provide you with relevant advertising. Sedangkan operasi pemangkatan dengan pangakt bulat, mengikuti aturan operasi perkalian. Itulah sekilas penjelasan tentang operasi aljabar pada fungsi dan contohnya terima kasih telah menyempatkan membaca semoga artikel yang anda baca bermanfaat jangan sungkan untuk mengirimkan kritik maupun saran kepada redaksi kami. A) penjumlahan penjumlahan 𝑓 dan g ditulis 𝑓 + 𝑔 didefinisikan sebagai ( 𝑓.
Berbagi
Posting Komentar
untuk "Soal Operasi Fungsi Aljabar / Operasi Hitung Pecahan Aljabar Dan Contoh Soalnya : Diketahui fungsi f (x) = (x + 2) 2 dan g (x) = (2x + 4) 2 , maka tentukanlah hasil dari :"
Posting Komentar untuk "Soal Operasi Fungsi Aljabar / Operasi Hitung Pecahan Aljabar Dan Contoh Soalnya : Diketahui fungsi f (x) = (x + 2) 2 dan g (x) = (2x + 4) 2 , maka tentukanlah hasil dari :"