Beranda
/ Soal Latihan 04 Limit Fungsi Trigonometri : Contoh Soal Limit Trigonometri Terbaru Kelas 11 12 : Tulisan ini terkait dengan tulisan pada kategori trigonometri, latihan soal.
Soal Latihan 04 Limit Fungsi Trigonometri : Contoh Soal Limit Trigonometri Terbaru Kelas 11 12 : Tulisan ini terkait dengan tulisan pada kategori trigonometri, latihan soal.
Soal Latihan 04 Limit Fungsi Trigonometri : Contoh Soal Limit Trigonometri Terbaru Kelas 11 12 : Tulisan ini terkait dengan tulisan pada kategori trigonometri, latihan soal.. Keterampilan dalam menentukan nilai limit fungsi trigonometri bisa terasah dengan cara banyak mengerjakan latihan soal. Akan tetapi lebih lanjut harus diingat. Nilai limit di tak berhingga. Jika anda telah memahami materi limit fungsi beserta cara menentukan nilai limit fungsi , baik itu limit aljabar ataupun limit tak hingga. Materi turunan fungsi trigonometri dan contoh soal ini memerlukan rumus dasar untuk menyelesaikannya.
Limit fungsi online worksheet for grade 12. Latihan soal matematika peminatan sma tentang limit fungsi trigonometri. Limit fungsi trigonometri melibatkan pendekatan sudut pada fungsi trigonometri. Nilai limit pada soal dapat diperoleh dengan melakukan transformasi menggunakan identitas trigonometri terlebih dahulu. Pembahasan soal spmb/snmptn logaritma dan eksponen (2).
Modul 5 Matk Limit Fungsi Trigonometri Kls Xii 13 Ok Rev 18 08 2018 from imgv2-2-f.scribdassets.com Lim sin 7x tan 3x sin 5x. ( ) 3 contoh a. Nilai lim 1 cos2x =… x 0 2x sin2x. Perhitungan limit fungsi trigonometri tidak jauh tidak jauh berbeda dari perhitungan limit fungsi aljabar. Oleh opan dibuat 11/12/2013 seorang guru matematika yang hobi menulis tiga bahasa, yaitu bahasa indonesia, matematika, dan php. Itulah pembahasan turunan fungsi trigonometri dan contoh. Teknik mengerjakan soal limit fungsi trigonometri berbeda untuk setiap soalnya. Menentukan limit fungsi aljabar a.
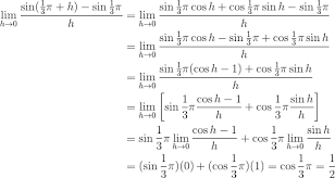
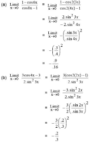
Berikut beberapa soal latihan limit fungsi trigonometri!
Jangan lupa subscribe, like, share and comment, terima kasih sudah menonton. Teknik mengerjakan soal limit fungsi trigonometri berbeda untuk setiap soalnya. Sama halnya dengan limit trigonometri, limit fungsi trigonometri merupakan nilai paling dekat dari suatu sudut pada fungsi trigonometri. Definisi dan pengertian limit # definisi limit berikut adalah definisi limit menurut austin louis cauchy: Download rangkuman, contoh soal limit pembahasan & jawaban kelas 11 dalam bentuk pdf klik disini. Trigonometri berasal dari kata yunani trigonon yang artinya tiga sudut dan. F (a) 0 f ( x) , maka lim diselesaikan dengan cara sebagai berikut: Dikatakan unik karena dapat dikerjakan dengan berbagai langkah dan menantang karena dapat menarik perhatian. Materi turunan fungsi trigonometri dan contoh soal ini memerlukan rumus dasar untuk menyelesaikannya. Untuk pengertian limit fungsi secara formal, lihat di atas. Secara informal, fungsi f memberikan output f(x) untuk setiap input x. Nilai lim 1 cos2x =… x 0 2x sin2x. Teorema 1 (hanya berlaku pada.
Nilai limit di tak berhingga. Limit fungsi trigonometri melibatkan pendekatan sudut pada fungsi trigonometri. Materi ini hanya diajarkan pada matematika peminatan ipa. Latihan soal matematika peminatan sma tentang limit fungsi trigonometri. Definisi dan pengertian limit # definisi limit berikut adalah definisi limit menurut austin louis cauchy:
Limit Fungsi Trigonometri Latihan Soal Tambahan Limit Fungsi Trigonometri Latihan Soal Tambahan from img.pdfslide.tips Oleh opan dibuat 11/12/2013 seorang guru matematika yang hobi menulis tiga bahasa, yaitu bahasa indonesia, matematika, dan php. Biasanya pada soal limit fungsi pada trigonometri nilai terdekat dari limit fungsinya ialah berupa sudut sudut istimewa yaitu sudut yang mempunyai nilai sederhana. Sama halnya dengan limit trigonometri, limit fungsi trigonometri merupakan nilai paling dekat dari suatu sudut pada fungsi trigonometri. Limit fungsi online worksheet for grade 12. Trigonometri berasal dari kata yunani trigonon yang artinya tiga sudut dan. Menentukan limit fungsi aljabar a. Untuk pengertian limit fungsi secara formal, lihat di atas. Secara informal, fungsi f memberikan output f(x) untuk setiap input x.
Tulisan ini terkait dengan tulisan pada kategori trigonometri, latihan soal.
Tulisan ini terkait dengan tulisan pada kategori trigonometri, latihan soal. Documents similar to latihan soal un matematika limit fungsi. F (a) 0 f ( x) , maka lim diselesaikan dengan cara sebagai berikut: Menghitung akar dengan hampiran turunan. Teknik mengerjakan soal limit fungsi trigonometri berbeda untuk setiap soalnya. X a g ( x) g (a) 0. Trigonometri berasal dari kata yunani trigonon yang artinya tiga sudut dan. X0 bx x0 sin bx b. Jangan lupa subscribe, like, share and comment, terima kasih sudah menonton. ( ) 3 contoh a. Materi lanjutan dari turunan fungsi aljabar adalah turunan fungsi trigonometri. Contoh soal limit fungsi trigonometri beserta jawaban dan proses penyelesaian. Berikut beberapa soal latihan limit fungsi trigonometri!
Itulah pembahasan turunan fungsi trigonometri dan contoh. Pembahasan soal spmb/snmptn logaritma dan eksponen (2). Menghitung akar dengan hampiran turunan. Menentukan limit fungsi aljabar a. Contoh soal limit fungsi trigonometri beserta jawaban dan proses penyelesaian.
Lks Limit Trigono Print from imgv2-1-f.scribdassets.com ( ) 3 contoh a. Saat membahas limit fungsi trigonometri ada berbagai macam rumus yang bisa disebut sebagai properti dalam menyelesaikan soal limit fungsi trigonometri. F (a) 0 f ( x) , maka lim diselesaikan dengan cara sebagai berikut: Dikatakan unik karena dapat dikerjakan dengan berbagai langkah dan menantang karena dapat menarik perhatian. Nilai limit di tak berhingga. Documents similar to latihan soal un matematika limit fungsi. Sin ax ax a lim. Pembahasan soal spmb/snmptn logaritma dan eksponen (2).
Teknik yang digunakan untuk mengerjakan soal limit fungsi trigonometri sudah pasti berbeda untuk setiap soalnya.
Dikatakan unik karena dapat dikerjakan dengan berbagai langkah dan menantang karena dapat menarik perhatian. Latihan soal matematika peminatan sma tentang limit fungsi trigonometri. Untuk menyelesaikan masalah limit trigonometri tak hingga, dapat diselesaikan dengan cara yaitu dengan menggunakan konsep kumpulan soal latihan online untuk 10, 11, 12 sma bidang matematika. Trigonometri berasal dari kata yunani trigonon yang artinya tiga sudut dan. X a g ( x) g (a) 0. Oleh opan dibuat 11/12/2013 seorang guru matematika yang hobi menulis tiga bahasa, yaitu bahasa indonesia, matematika, dan php. Materi turunan fungsi trigonometri dan contoh soal ini memerlukan rumus dasar untuk menyelesaikannya. Nilai limit di tak berhingga. Perhitungan limit fungsi trigonometri tidak jauh tidak jauh berbeda dari perhitungan limit fungsi aljabar. Soal dan pembahasan limit fungsi. Menentukan limit fungsi aljabar a. Saat membahas limit fungsi trigonometri ada berbagai macam rumus yang bisa disebut sebagai properti dalam menyelesaikan soal limit fungsi trigonometri. Sama halnya dengan limit trigonometri, limit fungsi trigonometri merupakan nilai paling dekat dari suatu sudut pada fungsi trigonometri.
Berbagi
Posting Komentar
untuk "Soal Latihan 04 Limit Fungsi Trigonometri : Contoh Soal Limit Trigonometri Terbaru Kelas 11 12 : Tulisan ini terkait dengan tulisan pada kategori trigonometri, latihan soal."
Posting Komentar untuk "Soal Latihan 04 Limit Fungsi Trigonometri : Contoh Soal Limit Trigonometri Terbaru Kelas 11 12 : Tulisan ini terkait dengan tulisan pada kategori trigonometri, latihan soal."